Блог им. TTI |Сегодня про Магнит

Рыночная цена = 2910₽

Краткие итоги за 1П2025 года по МСФО:

Выручка +14.6%
Чистая прибыль -70.2%

Позитивные новости вокруг компании:

🟢Ключевая ставка уже снижается = дешевле обслуживать долг
🟢Прибыль до вычетов (EBITDA) растёт

Риски, присущие Магниту:

🔴Рост капитальных затрат на несколько лет
🔴Постоянное продление сделки РЕПО с казначейским пакетом
🔴Отказ от дивидендов

Магнит может оказаться тёмной лошадкой. Компания проинвестировала Capex в 170₽ млрд за последние 12 месяцев, что в несколько раз выше, чем годами ранее. Вложения могут окупиться, тем более бизнес практически не пострадал… кроме чистой прибыли.

Уровень задолженности средний.
Долг увеличился на 86% с 2021 года.
Net debt/EBITDA = 2.4x.

Как менялись выплаты в последние годы:
5.6% выплачено за 2022 год
6.6% выплачено за 2023 год
0% выплачено за 2024 год

Возможный дивиденд — 0₽.

Не ожидается по итогам 2025 года.

Магнит упал ниже 3200₽, чем я уже воспользовался. Медленно продолжу наращивать позицию. Вопрос: какой смысл вкладываться в Магнит, если он ничего не платит?

( Читать дальше )

Блог им. TTI |ДОМ.PФ. А чем они вообще занимаются?

Старт торгов уже 20.11, при этом многие до сих про не разобрались в сути деятельности гигантской компании. Кто-то называет их банком, кто-то спонсором стройки… Разберемся?

Сперва об IPO. 14.11.25 тартовал сбор заявок, завершится 19 ноября:
— Тикер $DOMRF
— Инвесторы смогут подать заявки двух типов: с указанием максимальной цены покупки и по цене размещения.
— Ценовой диапазон размещения — от 1650 руб. до 1750 руб. за акцию.
— Параметры диапазона соответствуют оценке всей компании в 267-283 млрд руб. до допэмиссии, которая размещается в рамках IPO (ее предельный размер — 28 млн 549 тыс. 883 акции).
— Оценка адекватная. Компания — глыба.

Теперь посмотрим, чем они занимаются

📍Структуру дохода глобально можно разбить на банковский бизнес (55%) и небанковский бизнес (45%), грубо говоря. Плюс миллион промежуточных опций.

📍У ДОМ.PФ особая роль в реализации задач по развитию жилищной сферы страны:
— Вовлечение земельных участков
— Финансирование инфраструктуры и строительства жилья
— Предоставление современного арендного жилья

( Читать дальше )

Блог им. TTI |Банкъ. Минутка истории банковского дела.



«Где карточку открывали, туда и идите!!!» — так больше не делают. Но пришли к прогрессу не сразу

Недавно было ДР у СБЕРа.

184 года назад, 12 ноября 1841 года, император Николай I утвердил устав сберегательных касс – по задумке они должны были помочь малообеспеченному обывателю «без затруднительных сбережений» скопить хотя бы какой-то капитал, на «черный день».

Т.е. в первоначальной задумке это было что-то похожее на благотворительность, а далее плавно перешли к формату усиления платежеспособности населения. Правда, как обычно, по пути богатые богатели… А бедные — беднели

Изначально идея «вкладов» появилась в Шотландии, в XVIII веке аж появились возможности копить для простых людей. Постепенно подобного рода «сбер. кассы» начался распространяться по Европе.

В России появились подобные учреждения при Екатерине II, но из-за заградительного порога на вклад в 10 рублей идея не зашла (по современным деньгам это несколько миллионов!).

«Разговор о сберегательной кассе Алексея Никифоровича с Егором Прохоровичем» — рекламная брошюра для привлечения вкладчиков в сберегательные кассы:

( Читать дальше )

Блог им. TTI |Selectel. Финансовые и операционные результаты за 9 месяцев 2025 года

Если что, Селектел это провайдер IT-инфраструктуры в России, солидные ребята. Я знаю компанию как клиент и как держатель облигаций.

📍Ключевые показатели за 9 месяцев 2025 года:

— Выручка Selectel увеличилась на 42% год к году и достигла 13,5 млрд рублей,
включая выручку от продажи облачных инфраструктурных сервисов, которая
приросла на 43% до 11,7 млрд рублей.
(хороший рост, масштабируют бизнес успешно. Даже в сложном 2025!)
— Скорректированный показатель EBITDA вырос на 44% год к году до 7,8 млрд рублей.
— Рентабельность по скорр. EBITDA составила 58%.
— Чистая прибыль составила 2,5 млрд рублей, что соответствует рентабельности по чистой прибыли на уровне 19% (найдутся желающие придраться к этим 19%, но стоит ли? база выросла ощутимо, это важно).

📍Количество клиентов Selectel достигло 31,2 тыс. на конец сентября 2025 года. Рост базы 5,5 тыс. клиентов за год. (ну тут не сложно посчитать в % прирост. Больше клиентов — больше платежей, в будущем).

📍Долговая нагрузка остается на комфортном уровне: отношение чистого долга к

( Читать дальше )

Блог им. TTI |Сегодня про Европлан

Рыночная цена = 581.5₽

Краткие итоги за 1П2025 года по МСФО:

Выручка +7%
Чистая прибыль -87.5%

Позитивные новости вокруг компании:

🟢Выдача техники в лизинг в количественном выражении растёт
🟢Менеджмент будет рекомендовать дивиденды за 9М2025
🟢Ставка ЦБ снижается, что положительные влияет на лизинг

Риски, присущие Европлану:

🔴Доходы будут под давлением и в 2026
🔴Отчисления на резервы растут

Европлан, наверное, одна из лучших идей под снижение ставки. Бизнес целиком зависит от ДКП. Сейчас ставка = 16.5%, а #LEAS уже фиксируется восстановление выдачи от квартала к кварталу.

Уровень задолженности средний.
Долг увеличился на 37% с 2021 года.

Как менялись выплаты в последние годы:
2.5% выплачено за 2023 год
13.1% выплачено за 2024 год

Возможный дивиденд — 58₽.

Ожидается по итогам 9 месяцев 2025 года. Ориентировочная дата рекомендации: конец ноября

Компания мне нравится. Но чем, если финансовый отчёт за 1-е полугодие оказался практически провальным? Отношением к миноритариям. Европлан платит дивиденды, независимо от ситуации на рынке.

( Читать дальше )

Блог им. TTI |Сбер тянет, Лукойл топит. Что с рынком ?

В целом боковик, т.к. вверх тянет СБЕР, а вниз Лукойл. Баланс сил пока, но битва титанов продолжается. Зеленый график СБЕРа с зеленым лого против красного во всех смыслах Лукойла. Символично

📍ЛУКОЙЛ. Думаю уже все в курсе, но кратко напомню хронологию событий

Был глыбой рынка, но далее пришли злые амеры, выкатили санкции. В итоге СД по дивидендам перенося, а евро активы попытались продать лояльной структуре (Gunvor), раньше так все и работало. Но очень злые амеры тормознули сделку, а еще через Ирак загадили, платежи прекратились.

В итоге Лукойл близок к 5000, а оттуда рукой подать до 4800 или даже ниже, если не разрулят...
Разрулить можно одобрением дивов, либо пересмотром санкций. Пока ни того, ни другого.
Из-за прекращения платежей от партнера Лукойл может выйти из проекта «Западная Курна – 2» в Ираке.
Возникновение проблем из-за санкций неизбежно в других странах, уверены эксперты.
Но! В Ираке парламентские выборы, т.е. в теории возможна и переобувка. Не исключено.

📍OZON. Последний торговый день закончился 22 сентября на уровне 4135 руб. Сегодня стартовали гэпом, но выкупают потихоньку.

( Читать дальше )

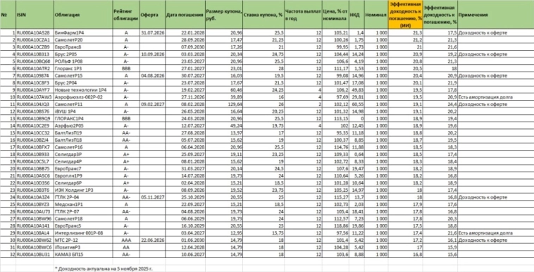
Блог им. TTI |ОФЗ, новая подборка


ОФЗ, новая подборка



Если что, это не готовый портфель, а просто список более-менее вменяемых выпусков. Удочка вместо рыбы.

— Красным выделил те, что есть у меня.
— На текущий момент снова интересны длинные ОФЗ, стабильно интересны валютные облиги, длинные корпораты разумеется держу
— При этом короткие ОФЗ (да и короткие корп. фиксы) переоценены, проще купить фонд денежного рынка или флоатеры.

📍Народную 26238 не держу, меня устраивают более «жирные» офз, да и корпоратов с плюсом 13-15% по телу гора.
📍На мой взгляд ставка до конца года 16%, в 2026 снижение медленное. Т.е. быстрый рост облиг НЕ жду, но держать считаю логичным.
📍Основной риск ОФЗ — разгон инфляции, когда 15% копейками покажутся. Ну и погашение через 10-15 лет, т.е. выходить придется раньше, перекладываться в акции. По мере созревания рынка.

📍Просадки по ОФЗ выкупал и выкупаю, но на купоны и денежки с вкладов закрытых, т.е. объем лимитирован
📍В начале 2025-го давил газ в пол, пылесося все норм. выпуски. Теперь газ отпустил, везу загруженный портфель осторожно

( Читать дальше )

Блог им. TTI |Облигации. Первичные размещения.


Облигации. Первичные размещения.

Сперва интересные:

📍Инарктика. Приличная контора, держу их предыдущие выпуски, пожалуй добавлю и новый фикс. Хороший %, без амортизации, срок интересный. Рейтинг ок. Да, с бизнесм не все просто… ну а кому сейчас легко?

📍Эталон. Тоже есть полно старых выпусков с плюсом 13-15% по телу, но добавлю и новые. По сути один из наиболее эффективных застройщиков, вместе с Глораксом. Их облиги тоже в плюсе хорошем.

📍реСтор. Пожалуй самый спорный из перечисленных, есть вопросы к рейтингу А- (АКРА), но возьму микро объемом. Были их ЦФА, заплатили нормально. Сам бизнес лично мне кажется странным, но кто-то видимо покупает. Ок.


📍Собственно все. Далее толпа ВВ-ВВВ, которые в текущих реалиях брать считаю спорной затеей (только если премия за риск, а ее тут нет). Возможно Стройдор интересен (ВВВ+ так-то), флоатеры норм есть, но мне не надо пока. Много региональных, но их не очень люблю (проще ОФЗ или корпораты хорошие).

В очередной раз Полипласт набирает долги, но туда тупо страшно нести.

— Из старых многие валютники к номиналу вернулись: Газпромнефть, Сибур, НорНикель, Фосагро и так далее. Я их добираю, аккуратно. Диверсификацию никто не отменял

( Читать дальше )

Блог им. TTI |Сегодня про Алросу

Рыночная цена = 39.12₽

Краткие итоги за 1П2025 года по МСФО:

Выручка -25.2%
Чистая прибыль +10.8%

Позитивные новости вокруг компании:

🟢Не высокая долговая нагрузка
🟢Компания планирует добывать золото

Риски присущие Алросе:

🔴Крепкий рубль
🔴Цены на бриллианты и алмазы не восстанавливаются
🔴С выплатами дивидендов могут повременить

За два с лишним года мало что изменилось. Санкции + низкая стоимость драгоценных камней привели Алросу к 40₽ за акцию.

Уровень задолженности средний.
Долг увеличился на 43.95% с 2021 года.
Net debt/EBITDA = 1.14x.

Как менялись выплаты в последние годы:
0% выплачено за 2022 год
7.5% выплачено за 2023 год
4.6% выплачено за 2024 год

Возможный дивиденд — 0₽.

Не ожидается по итогам 2025 года.

Нет практически ничего, на чём Алроса может расти. Компания показывает рост чистой прибыли, однако, бизнес остаётся под давлением. Рубль не слабеет. Это одно из важных условий для улучшения финансовых показателей. Но компания экспортирует алмазы по минимуму даже в Индию. И тут играет роль не столько эффект от санкций, сколько кризисная обстановка на рынке. Гохран же перестал скупать алмазы, что снижает продажи теперь уже на внутреннем рынке. Отсутствие намека на улучшение пугает. Менеджмент решил отойти от прежней концепции и добавить в портфель золотые активы, но начало добычи золота состоится не скоро.

( Читать дальше )

Блог им. TTI |Новая подборка отчетов

📍Лукойл. РСБУ за 9 мес.

— Выручка: 1.95 трлн.руб(-8.1% г/г)
— Себестоимость снизалась до 1.4 трлн.руб(-10.3% г/г)
— Валовая прибыль: 518.6 млрд.руб(-1.3% г/г)
— Чистая прибыль: 352.5 млрд.руб(-14,2% г/г)
— Прибыль компании в 3 кв. составила 24.7 млрд.руб(в 4 раза ниже г/г)

Главное помнить, что РСБУ не показывает все денежные потоки. Gunvor отозвала предложение о приобретении, но СД по дивам все же пока ждем. Не все потеряно

📍Россети. РСБУ за 9 мес.

— Выручка: 275.4 млрд.руб(+5,9% г/г)
— Себестоимость продаж: 155.7 млрд.руб(+7% г/г)
— Валовая прибыль: 119.8 млрд.руб(+4,4% г/г)
— Чистая прибыль: 153.1 млрд.руб(рост в 64 раза г/г)

Сильные результаты у сектора в этом году. Каждый год ближе к НГ рассматриваю сектор, каждый год он радует.

📍Транснефть. РСБУ за 9 мес.

— Выручка: 955.1 млрд.руб(+1,2% г/г)
— Чистая прибыль: 105.1 млрд.руб(+8,4% г/г)
— Чистая прибыль за 3 кв.: 28.9 млрд.руб(-32% г/г)

Нужно дождаться МСФО для полной картины (можно будет и о дивидендах говорить, они могут быть хорошие для текущего года). Пока наблюдаю. Долгосрочно все ок.

( Читать дальше )

....все тэги
UPDONW
Новый дизайн