На прошлом заседании ЦБ РФ по ключевой ставке было очередное снижение с 18% до 17%. Рынок это воспринял не очень оптимистично так как много кто ожидал 16%, а некоторые и все 15%
Однако реальность такова, что помимо снижения на 1% ЦБ в своём пресс релизе выдал не самую оптимистичную риторику и вот уже нет 100%-ой уверенности в том, что ЦБ на следующем заседании вновь понизит ставку.
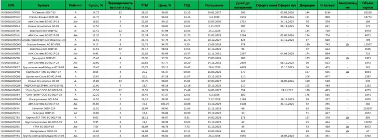
А это значит, что у нас имеют место быть флоатеры.
Специально убрал откровенно опасных эмитентов типа РОЛЬФ или КОКС, которые сильно плохо выглядят.
Все эмитенты в рейтинге A- и выше, а ТКД выше 20%, купоны у всех ежемесячные
1️⃣ Новые технологии 001Р-01 RU000A10AHB1
ТКД: 22,51%
Купон: КС + 6,5%
Цена: 1043 рубля
Погашение 16.12.2026
2️⃣ ЭР-Телеком Холдинг ПБО-02-07 RU000A10AFT7
ТКД: 21,86%
Купон: КС + 6%
Цена: 1067 рублей
Погашение: 14.12.2026
3️⃣ Первое кол.бюро НАО 001Р-06 RU000A10A414
ТКД: 21,52%
Купон: КС + 5%
Цена: 1022 рублей
Погашение: 07.11.2027
4️⃣ ГК Самолет БО-П14 RU000A1095L7
ТКД: 21,37%
Купон: КС + 2,75%
Основные параметры:
Ставка купона: до 15% (YTM до 16,08%)
Срок обращения: 3 года
Купон: 12 раз в год
Рейтинг: AA
Объём размещения: 3 миллиарда рублей
Амортизация: По 50% от номинальной стоимости облигации в даты выплат 30 и 36 купонов.
Оферта: нет
Сбор заявок: 12 сентября
Дата размещения: 22 сентября
Выпуск для всех
Прежде всего могу сказать, что отчёт компании мне крайне сильно понравился:
🔼Продажи увеличились прилично
🔼Выручка увеличилась с 57 до 69 миллиардов
🔼Операционная прибыль увеличилась с 4,5 до 5,7 миллиардов
🔼При выборе облигаций чистая прибыль не так важна, но и она тоже чуть-чуть увеличилась.
🔼Долгосрочные обязательства снизились с 53 до 48 миллиардов
🔼Краткосрочные обязательства снизились с 42 до 40 миллиардов
Отчёт показывает, что компания хорошо себя чувствует, что очень радует.
Компания предлагает выпуск с купоном до 15% и тут есть интересный момент: сбор будет проходить завтра до 15:00 по МСК, а новую ключевую ставку будут объявлять в 13:30 по МСК.
Очень интересно посмотреть на то, какие цифры получатся по итогу.
Основные параметры:
Ставка купона: 6,5-7% (YTM до 7,23%)
Срок обращения: 4 года
Купон: 12 раз в год
Рейтинг: AAA
Объём размещения: 300 миллионов долларов
Номинал: 100$
Амортизация: нет
Оферта: нет
Сбор заявок: 11 сентября
Дата размещения: 16 сентября
Выпуск для всех
Да, у компании имеются сейчас финансовые проблемы из-за санкций, переизбытка предложения на рынке, высокой ставке и так далее, но компания при любых обстоятельствах является надёжным плательщиком по своим обязательствам и нет никаких сомнений в платёжеспособности эмитента.
Выпуск наиболее актуален ещё и по причине того, что рубль, вроде бы, начал наконец ослабевать, что даёт дополнительное преимущество выпуску.
Давайте же посмотрим на его привлекательность сравнив его с иными валютными выпусками эмитента:
Самый интересный (в плане ситуации) среди выпусков НорНикеля это НорНик1P10 RU000A10BQU0
Он торгуется по цене в 123% от номинала и имеет оферту в июне 2026. Да, у него купон в 8%, но за 9 месяцев его цена снизится на 23%) Так в стакане сейчас ещё только заявки на покупку стоят)))

В таблице есть следующие параметры (всё с формулами):
— ISIN
- Название
- Рейтинг
- Купоны в % и валюте
- Валюта
- НКД
- Цена в %
- Номинал
- Цена в валюте
- Цена в рублях
- Дата погашения и оферты
- YTM
- Дюрация
- Периодичность купонов
- Объём торгов
Сама таблица находится тут: t.me/filippovich_money/1193
Курс доллара в моменте превышал отметку в 85 рублей после того как долгое время болтался в диапазоне 75-80 рублей за доллар.
Как мы знаем, никто у нас не покупает валютные инструменты, когда курс максимально выгодный и обращают на это пристальное внимание лишь, когда валюта уже сильно растёт.
Абсолютно все факторы, логика и здравый рассудок говорят о том, что таким крепким рубль долго быть не может.
Тут и дефицит бюджета, и снижение ключевой ставки, и отмена обязательной продажи валютной выручки экспортёрами, и так далее.
Вновь пересобрал таблицу со всеми актуальными выпусками замещающих облигаций. Вышло 147 выпусков.

На листе с лучшими бумагами вы найдёте 28 бумаг с рейтингом выше A-, дюрацией от 30 до 190 дней и YTM выше 18%
В таблице есть следующие поля:
— ISINПолную таблицу вы можете найти у меня в канале: t.me/filippovich_money/1192
Как пользоваться таблицей:
1️⃣ — Смотрите бумаги в рейтинге, который подходит под ваш уровень риска и находите с самым высоким YTM
2️⃣ — Смотрите на дату погашения/оферты. Чем ближе дата погашения/оферты, тем лучше, но лучше смотреть от 4-6 месяцев+, на коротких сроках YTM может некорректно отображать картину. Аналогичная ситуация с офертой/погашением более года и чем дальше, тем менее привлекательна бумага.
3️⃣ — КРАЙНЕ ВАЖНО!!! Смотрите информацию по компании: что пишут, корпоративные действия, как дела с платёжеспособностью. Если появляется уверенность, что всё отлично, то можете брать бумагу и радоваться доходности.
В одном из предыдущих постов я писал про бумаги с максимальным ТКД на рынке, но много акцентировал внимания на тот факт, что эти бумаги не просто так дают такие купоны и что это премия за повышенный риск.
Сейчас же я покажу список бумаг, которые сам держу в своём портфеле и которые считаю наиболее подходящими для получения кэшфлоу без опасений на счёт дефолта.
1️⃣ ЛК Роделен БО 001Р-03 RU000A105M59
Цена: 779 рублей при номинале 750,7 рублей
ТКД: 26%
В этом выпуске у нас разом и амортизация, и оферта.
Амортизация уже идёт, а ближайшая оферта в мае 2026 года хотя у бумаги погашение в ноябре 2027 года.
Купон в 27% позволяет бумаге выйти в топ по ТКД даже при цене в 104% от номинала.
Бумагу можно взять и держать вплоть до мая так как столь высокий купон перекроет все минуса от снижения стоимости.
Крайне важно! Надо следить за офертой у бумаги. Выпуск навороченный и есть вероятность того, что эмитент на оферте придумает что-нибудь необычное)
2️⃣ АФК «Система» 002Р-01 RU000A10B024
Ставка купона: 15-18% (YTM до 19,56%)
Срок обращения: 3 года
Купон: 12 раз в год
Рейтинг: AA-
Объём размещения: 3 миллиарда рублей
Амортизация: По 33,00% в даты выплаты 12 и 24 купонов, 34,00% в дату выплаты 36 купона.
Оферта: нет
Сбор заявок: 9 сентября
Дата размещения: 12 сентября
Выпуск для всех
В целом, по сектору сейчас кризис и все лизинговые компании испытывают проблемы. Балтийский лизинг на фоне своих конкурентов выглядит куда более уверенно.
Его процентные расходы на обслуживание долга в банках и по ценным бумагам увеличились, что не удивительно в условиях высоких ставок по кредитам и облигациям, но чистые процентные доходы компании увеличились, что не может не радовать. В такие времена такие показатели демонстрируют. Это сильно.
В общем и целом, по финансовому состоянию эмитента с рейтингом AA- вопросов не особо много должно быть.
Куда более важный для нас вопрос — это привлекательность доходности нового выпуска облигаций.
Очень сомневаюсь, что компания оставит купон в 18% и больше стоит рассчитывать на купон в 16,5%, что по итогу выйдет в YTM под 17,5-18%
Спойлер: ТОП по факту стал анти-топом из-за того, что все лидеры списка- это крайне большой неоправданный риск.
Данный рейтинг составлялся по такому показателю как Текущая Купонная Доходность: купоны всегда платятся от номинала и это значит, если купить бумагу дешевле номинала, то в процентном выражении вы получите больше. Если же покупаете выше номинала, то, по факту, получаете меньшую доходность купона.
Из-за этого многие выпуски с крайне большими купонами не входят в топ по причине того, что их цена улетела в космос и уже не выгодно покупать их.
Также хочу отметить, что это не ИИР, а лишь сухие цифры. Рейтинг почти на 100% объективный.
Почти из-за того, что я не стал добавлять сюда бумаги компании Монополия, которая сейчас находится в центре внимания и её бумаги скачут слишком сильно, чтобы показывать реальное положение дел.
Прежде чем перейти к топу предлагаю вам подписаться на мой канал: t.me/filippovich_money
Там я публикую куда больше информации
И так, перейдём к самому ТОПу:
Параметры размещения:
Ставка купона: 16-16,25% (YTM до 17,52%)
Срок обращения: 2,5 года
Купон: 12 раз в год
Рейтинг: AA-
Объём размещения: 4 миллиарда
Амортизация: нет
Оферта: нет
Сбор заявок: 5 сентября
Дата размещения: 10 сентября
Выпуск для всех
Selectel – это провайдер облачных инфраструктурных сервисов и услуг дата-центров. Крайне нравится эта компания, ещё в 2022 году при первом знакомстве с эмитентом меня удивил эмитент своим органическим быстрым ростом. Менеджмент шикарный.
У компании всё хорошо с финансовыми показателями за 1П2025:
Выручка: 8,9 млрд руб. (+46% г/г);
EBITDA: 5,2 млрд руб. (+49% г/г);
Рентабельность EBITDA: 59%;
Чистый долг/EBITDA: 1,7х.
Но больше всего мне нравится увеличение CAPEX у компании: по итогам 2023 года он был 1,76 миллиарда, а за первые 2 квартала 2025 уже 3,75 миллиарда.
За дальнейшее будущее компании опасений 0
Компания довольно давно на рынке. Прямо сейчас торгуется 4 выпуска:
выпуск 3 RU000A106R95
001Р-04R RU000A1089J4
001P-05 RU000A10A7S0
Совсем скоро гасится выпуск 2 RU000A105FS4 на 3 миллиарда рублей.
Параметры размещения:
Ставка купона: 25,5% (YTM до 28,07%)
Срок обращения: 3 года
Купон: 4 раза в год
Рейтинг: BB+
Объём размещения: 500 миллионов рублей
Амортизация: нет
Оферта: пут оферта через 1,5 года
Сбор заявок: 29 августа
Дата размещения: 29 августа
Выпуск для всех
Начну с того, что компания является холдингом, в который входит большое количество заведений общественного питания.
Компания владеет крупнейшей сетью итальянских ресторанов IL Патио.
Одной из крупнейших сетей ресторанов японской кухни «Планета суши»
В копилку брендов холдинга также входят Шикари, TGI Fridays, Лалибела кофе, Мама раша.
Также компания по франшизе управляет небольшим количеством заведений «Вкусно – и точка» в ряде аэропортов.
У компании даже есть акции на бирже, но это вообще не инвестиционная история. Тикер ROST, если вдруг интересно.
В целом, я, как любитель вкусно поесть в заведениях, крайне сильно хотел бы себе такие облигации, но есть ряд нюансов, которые смущают меня.