ЧТО ПРОИСХОДИТ: занимаясь трейдингом с 2012 года постепенно дошел до алгоритмической торговли портфелей цикличных торговых систем. Работаю вместе с квалифицированным программистом. В 2020 году
запустили одиночную торговую стратегию на $25 000 и забрали 39% годовых.
В мае 2021 года запустили портфель торговых систем, который и торгуем сейчас. Цель — постепенное доведение управления до сложных глубоко-диверсифицированных портфелей торговых систем способных давать доходность больше 100% годовых с управляемыми рисками. Выше Equity моей публичной торговли, которую веду с 2013 года.
ОТЧЕТ
1. Портфель поддержки — закрывает в апреле 3 сделки и зарабатывает + $595 на контракт. Торговля дублируется на счетах общим депо ~$40 000
Приняли решение приводить статистику по портфелю с учетом ПЕРЕНОСОВ через клиринг, то есть логически сделка продолжается, но фактически мы закрываемся перед клирингом и ПЕРЕОТКРЫВАЕМ сделку после клиринга. Практически на этом мы теряем около 10% всего профита из-за КЛИРИНГОВЫХ гэпов, но решаем массу инфраструктурных\технических проблем и повышаем безопасность торговли. Ранее я приводил статистику логическую. Сейчас в статистике сделок перенос указывается термином «Buy to cover».
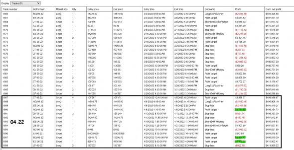
2. Публичный счет — дублирует портфель поддержки и зарабатывает +
$443 на контракт
, что составляет
~ 2% от начального депо
$20 000. Итого: через 12 месяцев торгов терпим просадку ~
48%, теряя
~ $10 000
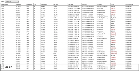
3. ЭТАЛОН — закрывает в апреле
13 сделок и зарабатывает
+ $8350 на контракт.
Нет подключенных счетов. (из-за относительно большой суммы депо на вход около 30к-45к в зависимости от просадки, не нашлось пока такого инвестора)
Некоторые сделки




Всем успехов в торгах!
Топ полезности: Псалм №1, Псалм №6, Псалм №9, Псалм №10, Псалм №11
Другие Псалмы по трейдингу
По любым вопросам skype: Biopsyhose
Инстаграм: Biotrade
Мой трек-рекорд 371% за 6 лет
Мой 12 месячный тренинг по трейдингу
Инвестирование в наших роботов