Блог им. AlekseiBulgakov
У всех разное отношение к деньгам. Мы можем зарабатывать деньги, а потом их тратить как хотим. В этом посте пойдет речь о зарабатывании денег в больших объемах.

После прочтения вы поймете сколько денег вам надо заработать, сколько лет нужно откладывать эту сумму и насколько все это реализуемо. Но главное, что вы определитесь сколько вам достаточно денег для жизни вашей мечты. После этого вы будете больше мотивированы, чтобы экономить, откладывать и инвестировать, искать способы увеличения заработка, больше стараться и больше работать с точки зрения финансов. Вы немного больше полюбите деньги, как бы аморально это не звучало.
И здесь нам поможет знание о сложном проценте из предыдущего поста.
Также важно понимать на какую годовую ставку ориентироваться для наших расчетов. Например, реальная доходность для всего фондового рынка России равна 20%. Как минимум последние 10 лет доходность была не меньше 20% в год. Но мы возьмем и более скромную ставку 12.6% годовых (или 1% в месяц). Допустим, что благоприятный сценарий это 20% годовых, а 12.6% это более консервативный и реалистичный сценарий развития событий. Выберем еще промежуточную среднюю годовую ставку между этими двумя вариантами — 16% (1.33% в месяц).
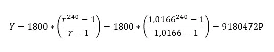
Для начала давайте оценим сколько вы можете получить, если откажетесь от курения, ежедневного кофе или шоколадки. Нам нужна знакомая геометрическая прогрессия. Накапливаем в течение двадцати лет или 240 месяцев и берем два варианта ставки. Экономим в месяц для инвестиций 1800₽ в месяц. Получаем:
1) Ставка 12.6% годовых или 1% в месяц

2) Ставка 16% годовых или 1.33% в месяц

3) Ставка 20% годовых или 1.66% в месяц

Совсем неплохо. И это только отказ от курения/шоколадки/кофе на 1800₽ в месяц! А можем просто откладывать эту скромную сумму.
Почему же никто не пользуется методами инвестирования?
Все просто. Люди даже не пытаются стараться. Даже, если они знают, что можно постараться ради будущего себя, они предпочитают свое текущее положение будущему. Никто не хочет богатеть медленно. И при этом вы должны тратить денег меньше, чем зарабатываете, а сделать это на длинном промежутке времени посильно только самым дисциплинированным людям. Таких меньшинство. Большинство людей в нашей стране берет кредиты и тем самым тратят больше, чем зарабатывают. Они используют обратный сложный процент, который начинает работать против них.
Переходим к важным вопросам. Сколько именно вам надо инвестировать? Сколько вам достаточно денег?
Прошу вас серьезно обдумать следующие вопросы и сделать расчет для вашего индивидуального случая.
Каждый выписал свои цифры. Для примера я возьму X=50 000₽ и Y=200 000₽.
Теперь мы готовы составить свой финансовый план!
Финансовая подушка безопасности на 6 месяцев жизни.
Эту сумму необходимо сформировать как можно скорее. И держать в близком доступе на экстренный случай. Можно держать в облигациях федерального займа ОФЗ на обычном брокерском счете (только не на ИИС, иначе при выводе средств раньше срока вы потеряете все налоговые льготы) или на банковском вкладе. Часть можно держать в наличном виде. Мы не стараемся максимально приумножить эти деньги. Мы сохраняем их на непредвиденную ситуацию.
100X или 100*50 000₽=5 000 000₽
Следующая цель связана с созданием капитала, доход от которого будет закрывать минимум комфортной жизни. Эту сумму нужно сформировать за 8 лет.
1) Ставка 12.6% годовых или 1% в месяц
5 000 000 * 1.126 = 5 630 000₽, 630 000₽ в год или 52 500₽ в месяц!
2) Ставка 20% годовых или 1.66% в месяц
5 000 000 * 1.2 = 6 000 000₽, 1 000 000₽ в год или 83 333₽ в месяц!
После этого можно перестать откладывать деньги и получать ощутимый доход от инвестиций. Или продолжить идти к сумме мечты!
Когда вы достигнете этой цели, то вам уже вообще можно перестать работать ради финансовой составляющей. Вы спокойно можете заниматься тем, чем захотите, не делая поправки на денежную составляющую деятельности. На этом этапе вы уже независимый человек с точки зрения финансов. Достигнуть ее можно через 17-20 лет. Если сейчас вам 25 лет, то это хорошая новость. Вы способны достигнуть ее в возрасте 42-45 лет.
Посчитаем сколько нужно откладывать равными платежами каждый месяц 20 лет (240 месяцев) для получения 40М₽.
1) Ставка 12.6% годовых или 1% в месяц

Выглядит не самой легкой задачей
2) Ставка 16% годовых или 1.33% в месяц

Выглядит уже лучше. Вполне реально с постепенным ростом вашего дохода.
3) Ставка 20% годовых или 1.66% в месяц

Уже намного лучше, и вполне реальная задача. Но получать доходность в 20% сложно в течение 25 лет.
А теперь попробуем посчитать сумму пополнения, если увеличивать довложение в капитал на определенный процент (на 1% для простоты).
1) Ставка 12.6% годовых или 1% в месяц

Выглядит уже не так страшно как 40444₽
2) Ставка 16% годовых или 1.33% в месяц

3) Ставка 20% годовых или 1.66% в месяц

Прекрасно, но не забываем, что в этом случае нужно каждый месяц делать довложение на 1% больше. И поддерживать доходность на уровне 20% все 20 лет.
Чтобы не думать о деньгах, нужно подумать о деньгах где-то в начале. Не теряйте свое время напрасно, пользуйтесь им. И на пути к богатству придется отказываться от чего-то, отказываться от потребления. Но после преодоления этого пути наступает финансовая свобода! Можете делать то, что хочется!
Если понравился пост, то можете подписаться на мой телеграм-канал про долгосрочные инвестиции. Буду рад вашей поддержке!
Данная публикация является личным мнением автора. Мнение владельца сайта может не совпадать с мнением автора.
Некоторые ещё до 30 лет, в 200х были долларовыми миллионерами, но никому и в голову не приходило остановиться на достигнутом
Это были 2 авто и полторы квартиры, и даже не дом
Не вижу здесь инфляции.
А между тем, при отнюдь не катастрофических, совершенно реальных в качестве многолетнего среднего уровня 10% за 20 лет получим рост цен в 6,73 раза
12% дадут нам уже прирост в 9,65 раза
15% в год — в 16,37 раза за 20 лет
Соответственно, все накопления надо разделить на 7 (оптимистично-реалистичный вариант) или 15 (умеренно пессимистичный)
У человека не сложилась жизнь, наверное..
Вот так уйти в мир мертвых цифр((...